主要职责
中国科学院贯彻落实党中央关于科技创新的方针政策和决策部署,在履行职责过程中坚持党中央对科技工作的集中统一领导。主要职责是:
一、开展使命导向的自然科学领域基础研究,承担国家重大基础研究、应用基础研究、前沿交叉共性技术研究和引领性颠覆性技术研究任务,打造原始创新策源地。 更多+
院况简介
中国科学院是国家科学技术界最高学术机构、国家科学技术思想库,自然科学基础研究与高技术综合研究的国家战略科技力量。
1949年,伴随着新中国的诞生,中国科学院成立。建院70余年来,中国科学院时刻牢记使命,与科学共进,与祖国同行,以国家富强、人民幸福为己任,人才辈出,硕果累累,为我国科技进步、经济社会发展和国家安全作出了不可替代的重要贡献。 更多+
院领导集体
科技奖励
科技期刊
科技专项
科研进展/ 更多
工作动态/ 更多
工作动态/ 更多
中国科学院学部
中国科学院院部
语音播报
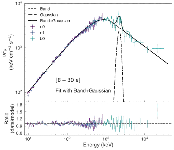
近期,中国科学院紫金山天文台科研人员在伽马暴兆电子伏特(MeV)谱线研究方面取得进展。该研究利用费米卫星伽马射线暴监测器(Fermi-GBM)观测数据,在伽马暴GRB 221023A的能谱中发现了一条2.1 MeV的发射线,这是在伽马暴能谱中发现的第二例MeV发射线事件。
伽马暴是宇宙中最剧烈的伽马射线爆发现象。尽管迄今为止已取得较多进展,但伽马暴的起源和辐射机制仍存在较多未解之谜。例如,伽马暴的前身星是什么?产生伽马射线的辐射过程是什么?伽马暴谱线探测对研究其物理机制非常重要,能够为揭示伽马暴的中心引擎、喷流结构和辐射过程等提供线索。而在伽马暴能谱中,探测X射线或伽马射线谱线的进展相对缓慢,仅在GRB 221009A中发现了一条显著性超过5σ、能量约10 MeV的窄发射线。这是伽马暴研究史上首次在MeV能段发现谱线存在的证据,但该MeV发射线的物理起源尚不清楚。
该研究在GRB 221023A瞬时辐射能谱中发现了一个比较显著的发射线特征,其能量范围位于2.1 MeV附近。这一特征最高统计显著性出现在Fermi-GBM触发后8秒到30秒的时间间隔中,对应的偶然概率值<1×10-7。这是继GRB 221009A之后在伽马暴MeV能量范围内观测到的第二个发射线事件。但是,与GRB 221009A不同的是,GRB 221023A中发射线的中心能量几乎不随时间演化,而宽度随着时间增加有减小的趋势,这为研究伽马暴谱线形成机制提供了新的观测依据。MeV发射线可能是通过伽马暴喷流中携带的相对论性高原子序数类氢离子中的激发态电子的退激过程产生的。假设伽马暴喷流的半张角θj=0.1rad,红移z=0.1,可推导出伽马暴喷流的洛伦兹因子约为280,喷流中携带的重核总质量约为1.2×1026g,重核的动能约为3×1049erg。
这一发现为研究伽马暴的喷流物质成分和物理环境提供了新线索。同时,研究表明,伽马暴喷流中可能含有大量的相对论重子物质,是宇宙中高能宇宙线的来源之一。
相关研究成果被遴选为亮点论文,发表在《自然-通讯》(Nature Communications)上。研究工作得到国家自然科学基金委员会、中国科学院及江苏省等的支持。

GRB 221023A在Fermi-GBM触发后8秒到30秒时间间隔内,采用Band+Gaussian函数拟合得到的νFν能谱图
扫一扫在手机打开当前页
© 1996 - 中国科学院 版权所有 京ICP备05002857号-1
京公网安备110402500047号 网站标识码bm48000002
地址:北京市西城区三里河路52号 邮编:100864
电话: 86 10 68597114(总机) 86 10 68597289(总值班室)








