主要职责
中国科学院贯彻落实党中央关于科技创新的方针政策和决策部署,在履行职责过程中坚持党中央对科技工作的集中统一领导。主要职责是:
一、开展使命导向的自然科学领域基础研究,承担国家重大基础研究、应用基础研究、前沿交叉共性技术研究和引领性颠覆性技术研究任务,打造原始创新策源地。 更多+
院况简介
中国科学院是国家科学技术界最高学术机构、国家科学技术思想库,自然科学基础研究与高技术综合研究的国家战略科技力量。
1949年,伴随着新中国的诞生,中国科学院成立。建院70余年来,中国科学院时刻牢记使命,与科学共进,与祖国同行,以国家富强、人民幸福为己任,人才辈出,硕果累累,为我国科技进步、经济社会发展和国家安全作出了不可替代的重要贡献。 更多+
院领导集体
科技奖励
科技期刊
科技专项
科研进展/ 更多
工作动态/ 更多
工作动态/ 更多
中国科学院学部
中国科学院院部
语音播报
共晶高熵合金引入多级共格纳米析出相,结合了析出强化和层状结构强化的优点,从而为优化高熵合金的综合性能提供了颇有前景的设计策略。然而,多组分或者多相合金的错综复杂性质,为研究这些纳米相的形成和演变机制带来了挑战,尤其是纳米相如何在不同结构的基体中形成和演化。
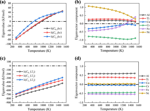
通常,纳米相通过一步形核并开始长大或粗化。中国科学院金属研究所特种合金研究部先进特殊钢团队研究发现,fcc/L21共晶高熵合金在1023 K下时效时可形成一种特殊的fcc/L12+L21/bcc分级结构。fcc/L21基体中的L12/bcc结构纳米相不是通过一步形核形成,而是通过两步转变形成:首先以调幅分解形式发生Ni/Al/Ti和Cr/Fe成分分离,继而成分富集区发生结构有序/无序转变。研究通过计算fcc/L21伪三元系统在不同温度下的调幅分解区,证实fcc/L21相体系在时效初期具有热力学不稳定性,满足发生调幅分解的热力学条件。力学性能结果显示,这种分级结构的形成可提高共晶高熵合金的强度。共晶高熵合金相稳定性和析出机理的成果,对于设计具有最佳力学性能的多相纳米结构合金具有理论指导意义。
相关研究成果以Unraveling the two-stage precipitation mechanism in a hierarchical-structured fcc/L21 high-entropy alloy: Experiments and analytical modeling为题,发表在《材料学报》(Acta Materialia)上。研究工作得到国家自然科学基金、中国科学院区域发展青年学者项目和国家重点研发计划等的支持。

fcc相内纳米相的结构演变

L21相内纳米相的结构演变

fcc/L21体系Hessian矩阵特征值和对应的成分分离特征向量(最小特征值小于0说明体系处于热力学不稳定状态)
© 1996 - 中国科学院 版权所有 京ICP备05002857号-1
京公网安备110402500047号 网站标识码bm48000002
地址:北京市西城区三里河路52号 邮编:100864
电话: 86 10 68597114(总机) 86 10 68597289(总值班室)








