主要职责
中国科学院贯彻落实党中央关于科技创新的方针政策和决策部署,在履行职责过程中坚持党中央对科技工作的集中统一领导。主要职责是:
一、开展使命导向的自然科学领域基础研究,承担国家重大基础研究、应用基础研究、前沿交叉共性技术研究和引领性颠覆性技术研究任务,打造原始创新策源地。 更多+
院况简介
中国科学院是国家科学技术界最高学术机构、国家科学技术思想库,自然科学基础研究与高技术综合研究的国家战略科技力量。
1949年,伴随着新中国的诞生,中国科学院成立。建院70余年来,中国科学院时刻牢记使命,与科学共进,与祖国同行,以国家富强、人民幸福为己任,人才辈出,硕果累累,为我国科技进步、经济社会发展和国家安全作出了不可替代的重要贡献。 更多+
院领导集体
科技奖励
科技期刊
科技专项
科研进展/ 更多
工作动态/ 更多
工作动态/ 更多
中国科学院学部
中国科学院院部
语音播报
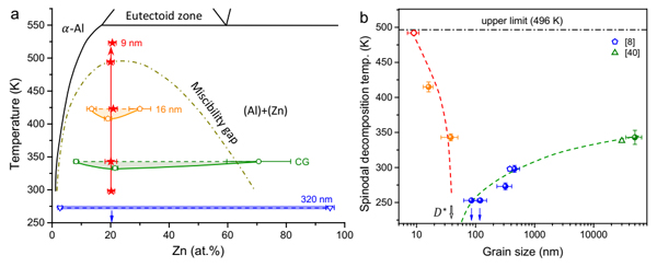
通过各种各样的热力学非平衡过程(快速淬火、物理或者化学气相沉积、电沉积以及球磨等手段),可以形成过饱和固溶体从而调控金属材料的性能,但过饱和固溶体在热力学上处于不稳定状态。在加热或者塑性变形时,它将分解成热力学稳定相以降低体系的自由能。长久以来,稳定过饱和固溶体以防止其分解颇有挑战性,尤其是在具有互溶间隙的合金体系中,相分解将通过上坡扩散主导的调幅分解机制自发进行。
有研究表明,塑性变形诱导的晶粒细化在材料内部引入高密度的晶界、空位和位错等缺陷,作为扩散的通道,会加剧原子扩散。在晶粒被充分细化的金属和合金中,包括晶粒长大、第二相析出以及调幅分解在内的各种扩散过程被显著促进。这些现象在晶粒尺寸处于亚微米尺度的金属和合金中尤为显著。
近期,中国科学院金属研究所沈阳材料科学国家研究中心纳米金属科学家工作室在这一科学难题研究方面取得新突破。该团队利用自主研发的低温塑性变形技术,将成分位于互溶间隙内的过饱和Al-21.7at%Zn合金的晶粒尺寸细化至10 nm以下并获得受限晶体结构。研究发现,单相过饱和固溶体结构受限晶体Al-21.7at%Zn合金具有颇高的结构稳定性,在互溶间隙温度范围内的调幅分解行为被完全抑制。这一现象源于平均曲率为零的三维极小面界面结构以及极小尺寸晶粒内空位缺失同时抑制了置换式固溶体原子的晶间扩散和晶格扩散。该研究表明受限晶体结构可有效抑制合金中各种由扩散控制的相变过程,进一步证明了这种新型亚稳结构在金属材料中的普适性,对提高过饱和固溶体稳定性以及发展高性能金属材料具有重要意义。
相关研究成果以Stabilizing Supersaturation with Extreme Grain Refinement in Spinodal Aluminum Alloys为题,在线发表在《先进材料》(Advanced Materials,DOI:10.1002/adma.202303650)上。研究工作得到国家重点研发计划、国家自然科学基金和中国科协青年人才托举工程等的支持。

通过极端晶粒细化抑制调幅分解
扫一扫在手机打开当前页
© 1996 - 中国科学院 版权所有 京ICP备05002857号-1
京公网安备110402500047号 网站标识码bm48000002
地址:北京市西城区三里河路52号 邮编:100864
电话: 86 10 68597114(总机) 86 10 68597289(总值班室)








