主要职责
中国科学院贯彻落实党中央关于科技创新的方针政策和决策部署,在履行职责过程中坚持党中央对科技工作的集中统一领导。主要职责是:
一、开展使命导向的自然科学领域基础研究,承担国家重大基础研究、应用基础研究、前沿交叉共性技术研究和引领性颠覆性技术研究任务,打造原始创新策源地。 更多+
院况简介
中国科学院是国家科学技术界最高学术机构、国家科学技术思想库,自然科学基础研究与高技术综合研究的国家战略科技力量。
1949年,伴随着新中国的诞生,中国科学院成立。建院70余年来,中国科学院时刻牢记使命,与科学共进,与祖国同行,以国家富强、人民幸福为己任,人才辈出,硕果累累,为我国科技进步、经济社会发展和国家安全作出了不可替代的重要贡献。 更多+
院领导集体
科技奖励
科技期刊
科技专项
科研进展/ 更多
工作动态/ 更多
工作动态/ 更多
中国科学院学部
中国科学院院部
语音播报
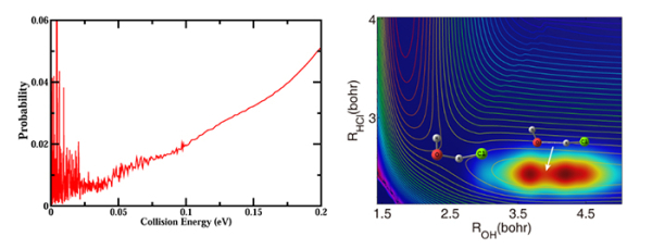
近日,中国科学院大连化学物理研究所分子反应动力学国家重点实验室张东辉团队与中科院福建物质结构研究所研究人员合作,揭示了造成OH + HCl → H2O + Cl反应低温强非Arrhenius行为的共振诱导量子隧穿的本质机理。
在经典图像中,一个化学反应只有在碰撞能量高于势垒的情况下才会发生,反应速率对温度的依赖关系遵循Arrhenius公式。而在量子图像中,化学反应可以通过量子隧穿在低于反应势垒的能量下发生,导致反应速率在低温偏离Arrhenius行为。OH + HCl → H2O + Cl反应因为释放氯原子,能催化平流层中的臭氧破坏反应,是南极洲臭氧空洞形成的原因,在大气化学中十分重要。实验测量的反应速率常数在低温区域大大偏离了Arrhenius极限,并且在250K以下反应速率基本与温度无关。此外,实验还发现该反应具有较大的H/D动力学同位素效应。上述现象说明反应中存在重要的量子隧穿效应,然而造成量子隧穿的本质机理仍然未知。
该工作中,张东辉团队在新构建的精确基本不变量神经网络(FI-NN)势能面上对该反应进行了详尽的含时量子波包计算,得到的热速率常数和实验结果吻合。通过对散射波函数的分析发现,由于OH和HCl之间较强的氢键相互作用,OH + HCl反应在入口通道的弯曲/扭转激发振动绝热势阱中存在许多Feshbach共振态。这些共振态极大诱导了氢原子通过反应势垒的量子隧穿效应,增强了低碰撞能区域的反应性,使得反应速率在低温表现出实验观察到的偏离Arrhenius行为。
过去十几年中,张东辉团队致力于探测化学反应中的共振,通过与实验的密切合作,在F+H2/HD/H2O/HOD反应中揭示了捕获在势垒之后区域HF振动激发绝热势阱中的Feshbach共振。而OH+HCl反应是第一次在入口区域发现Feshbach共振,与以往研究过的其他大气过程都不相同。
相关研究成果以Strong Non-Arrhenius Behavior at Low Temperatures in the OH + HCl → H2O + Cl Reaction Due to Resonance Induced Quantum Tunneling为题,于近日发表在《化学科学》(Chemical Science)上。英国皇家化学会化学世界网站(Chemistry World)对该工作进行了亮点报道。研究工作得到国家自然科学基金的支持。

大连化物所揭示OH + HCl反应中量子隧穿的本质
© 1996 - 中国科学院 版权所有 京ICP备05002857号-1
京公网安备110402500047号 网站标识码bm48000002
地址:北京市西城区三里河路52号 邮编:100864
电话: 86 10 68597114(总机) 86 10 68597289(总值班室)








